[expand TOC] [collapse TOC]

Analysis Suite for 3.3

Cross Sections

Collection of cross sections for different elementary scattering processes. Inclusive and exclusive cross sections are presented.


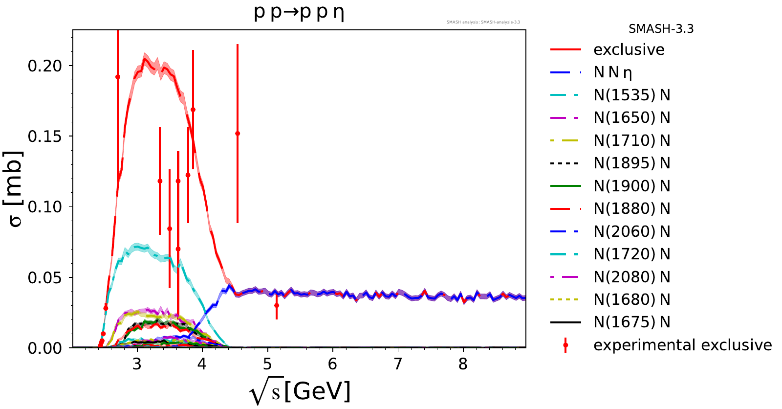
p + p

Comments: -

Config 0

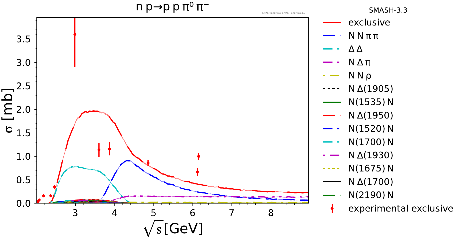
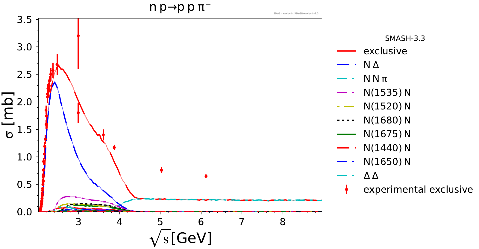
n + p

Comments: -

Config 0

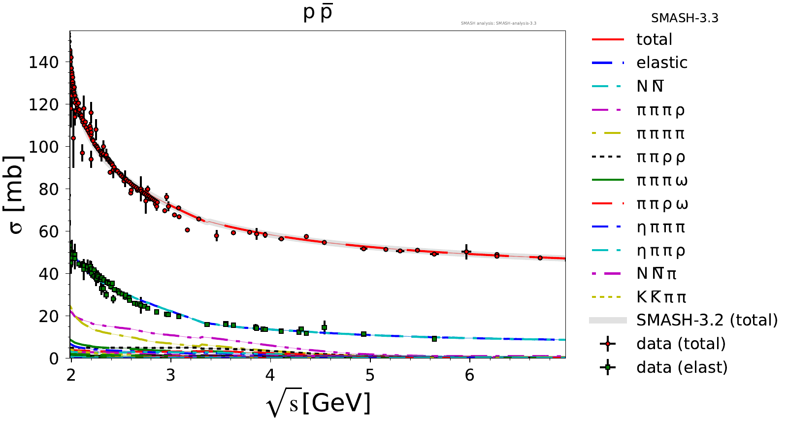
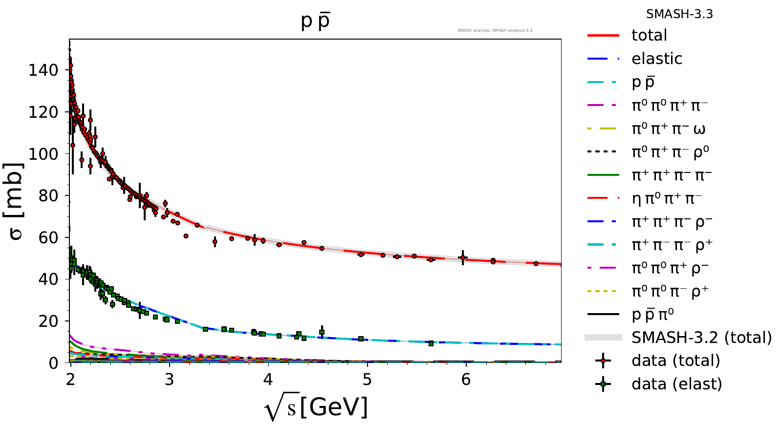
p + p̄

Comments: Failed strings correspond to processes in which pythia does not find a proper final state for an underlying string process. In this case SMASH falls back to an elastic scattering of the incoming particles.

Config 0

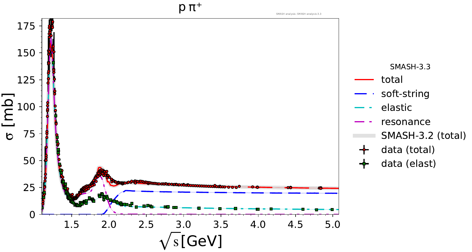
π+ + p

Comments: Hyperon production discussed in strangeness paper.

Config 0

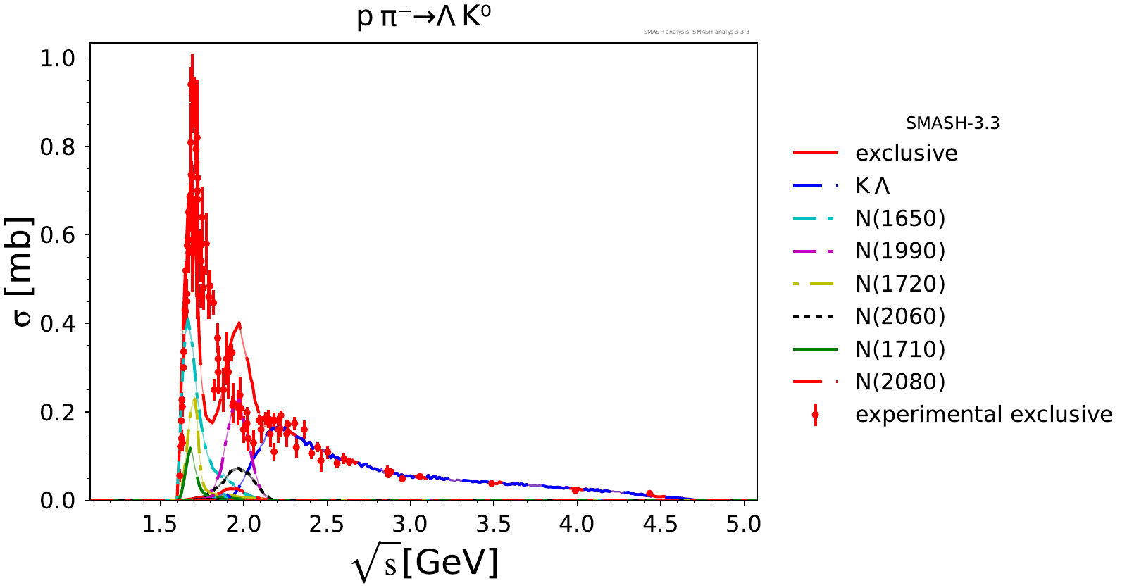
π- + p

Comments: Hyperon production discussed in strangeness paper.

Config 0

π+ + π-

Comments: -

Config 0

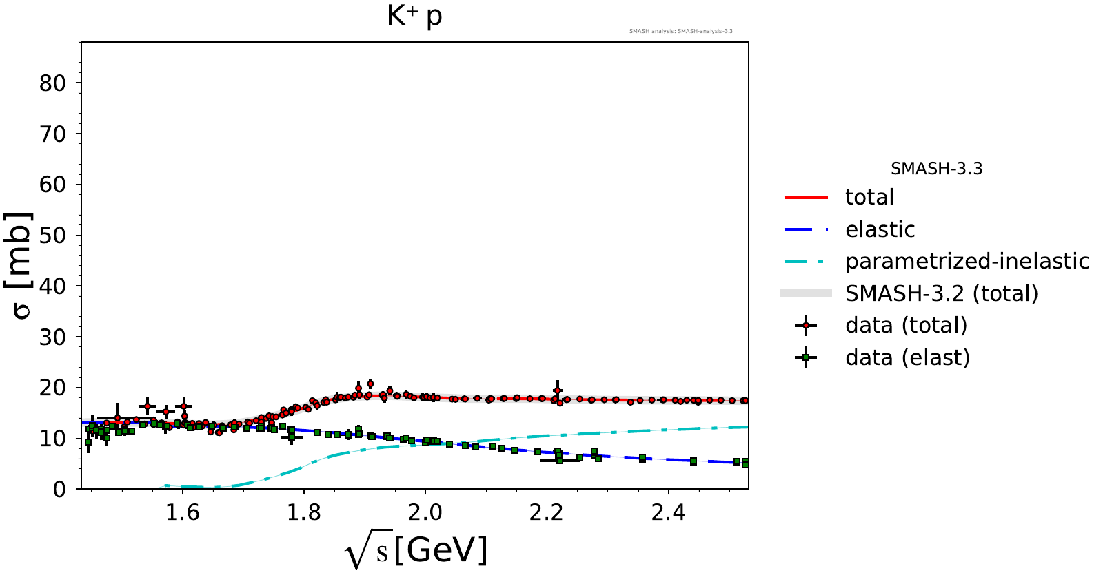
K+ + p

Comments: Exclusive Deltas are overestimated at high energies, probably because we don't produce enough pions.

Config 0

K- + p

Comments: Lambda(1520) peak could be higher, but it is tightly constrained by PDG branching ratios. At high energies, there are no resonances.

Config 0

K+ + n

Comments: Uses GiBUU parametrization. Does not describe exclusive cross section well, but it is very small and not important. See strangeness paper.

Config 0

Impressum Data privacy protection