[expand TOC] [collapse TOC]

Analysis Suite for 3.3

Detailed Balance

Detailed balance tests in an infinite matter simulation (box) with different particle species.
On the left, the evolution of the box towards chemical equilibrium is displayed for all particle species considered.
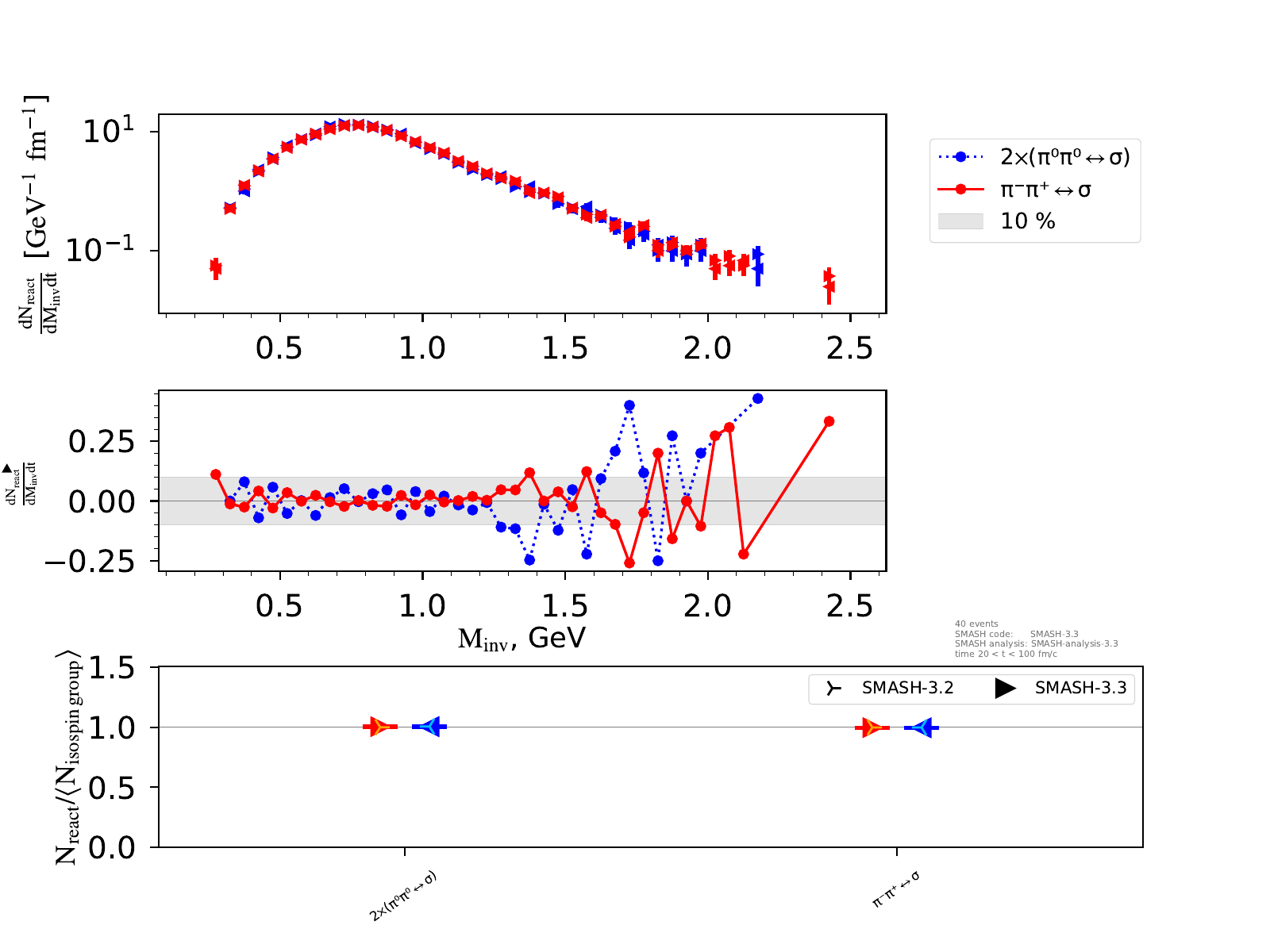
The upper plot on the right shows the number of reactions binned in invariant mass and normalized by the length of the timestep (endtime - onset of equilibrium).
The lower plot on the right shows the numbers of most violating forward (tip to the right) and backward (tip to the left) reactions encountered in the corresponding setups. If detailed balance was perfectly conserved, the inwards and outwards arrows of each reaction should lie exactly on top of each other. To increase readabiliy, the total number of reactions for each channel is normalized by the average reaction number for the considered isospin group. Therefore, the normalized values are expected to lie at 1.0.


Full Thermal Box with All Mesons and Baryons

Comments: Shows only most violating reactions. Huge cross-sections are problematic. Increasing the maximum cross-section will partially improve it.

Config 0

ρ ⟷ π + π

Comments: -

Config 0

ρ + ρ ⟷ f2,   ρ ⟷ π + π,   π + π ⟷ f2

Comments: -

Config 0

ω ⟷ π + ρ

Comments: -

Config 0

ρ ⟷ π + π,   σ ⟷ π + π

Comments: -

Config 0

σ ⟷ π + π

Comments: -

Config 0

N + π ⟷ Δ

Comments: -

Config 0

N + N ⟷ Δ + N,   N + N ⟷ Δ + Δ

Comments: -

Config 0

N + π ⟷ Δ,   N + N ⟷ Δ + N,   N + N ⟷ Δ + Δ

Comments: There seems to be a physical reason for deviations. Forbidding a special kind of spurious collisions (see issue #3025) or increasing Ntest cures it.

Config 0

N + N(1440) ⟷ N + N,   N(1440) ⟷ π + N,   N(1440) ⟷ π + N

Comments: Huge Nσ cross-sections are problematic. Increasing the maximum cross-section to 2000 mb might improve it. See also issue #3206.

Config 0

K + N ⟷ K + Δ

Comments: -

Config 0

Non-isotropically Distributed: N + N ⟷ Δ + N,   N + N ⟷ Δ + Δ

Comments: Detailed balance for reactions where non-isotropic angular distributions are implemented. Angular distributions in forward and reverse reactions are not consistent.

Config 0

Strangeness Exchange

Comments: Shows only most violating reactions.

Config 0

Deuteron: N + N ⟷ d′,   N + d ⟷ N + d′,   π + d ⟷ N + N,   π + d ⟷ π + d′

Comments: -

Config 0

Multiparticle: η′ ⟷ π + π + η

Comments: -

Config 0

Multiparticle: ω ⟷ π + π + π

Comments: -

Config 0

Multiparticle: φ ⟷ π + π + π

Comments: -

Config 0

Multiparticle: d ⟷ N + π

Comments: -

Config 0

Impressum Data privacy protection